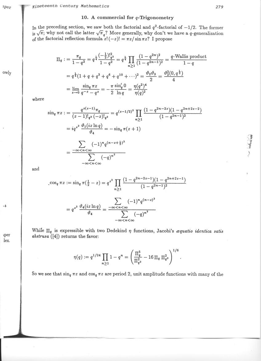
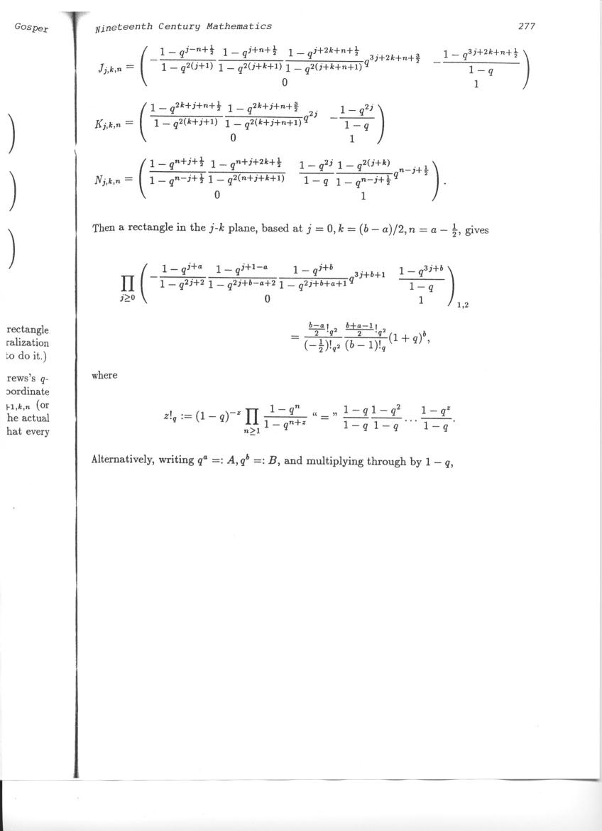
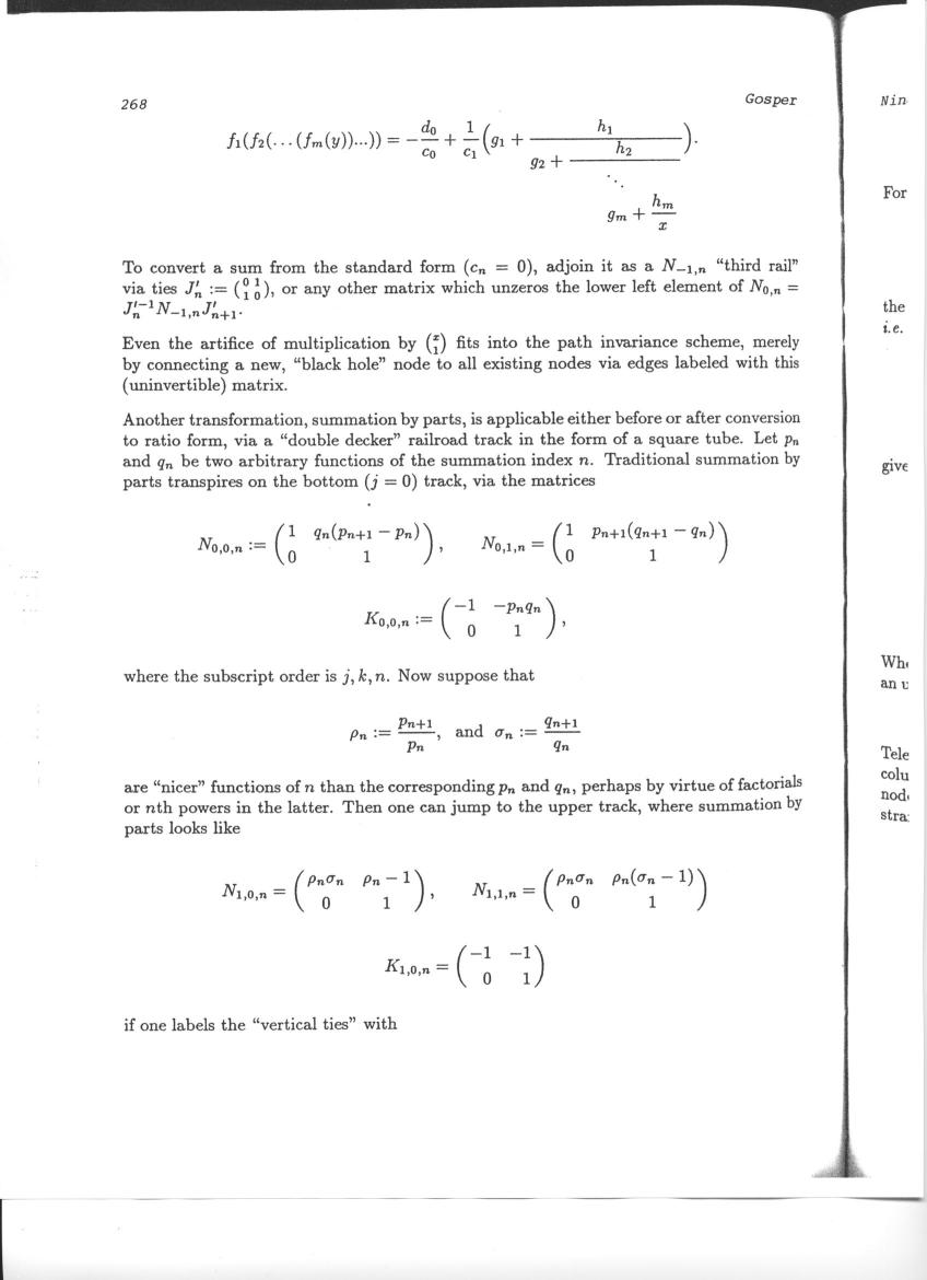
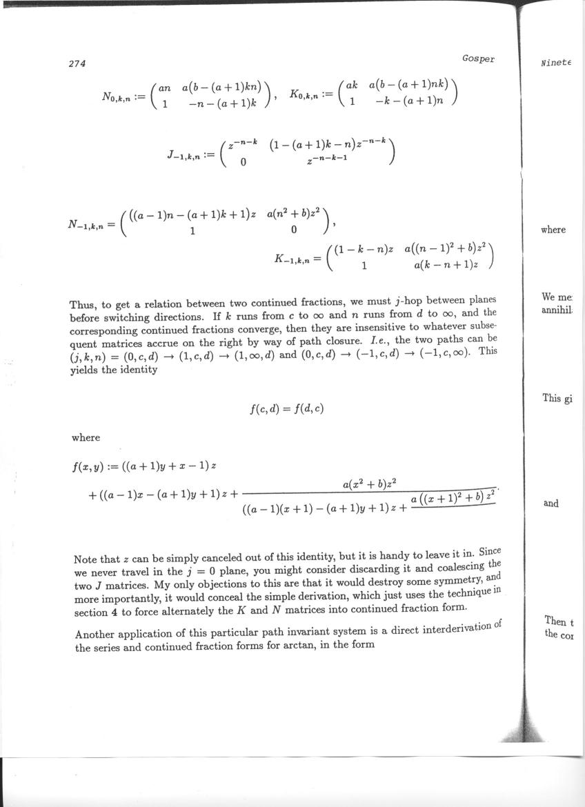
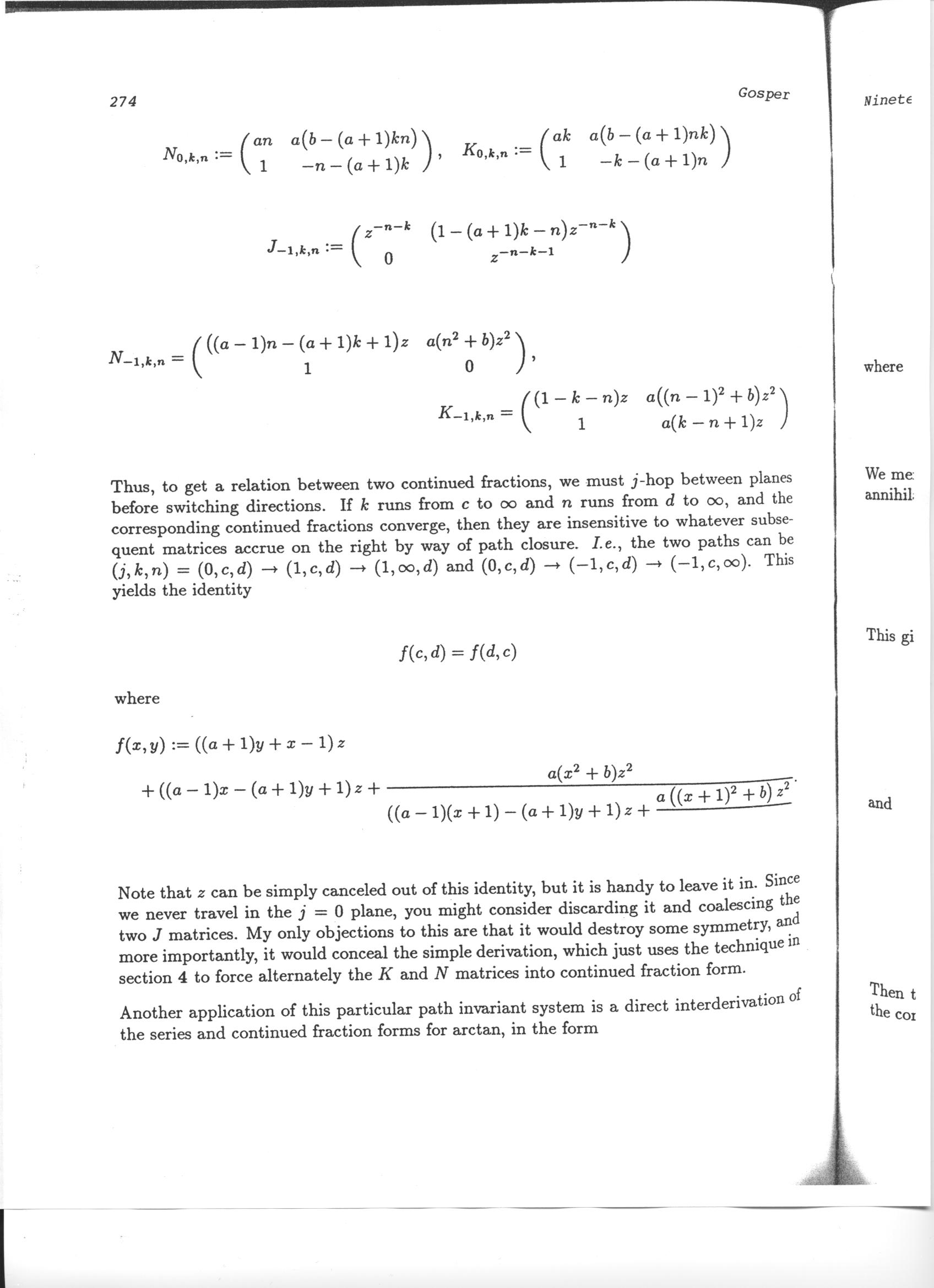
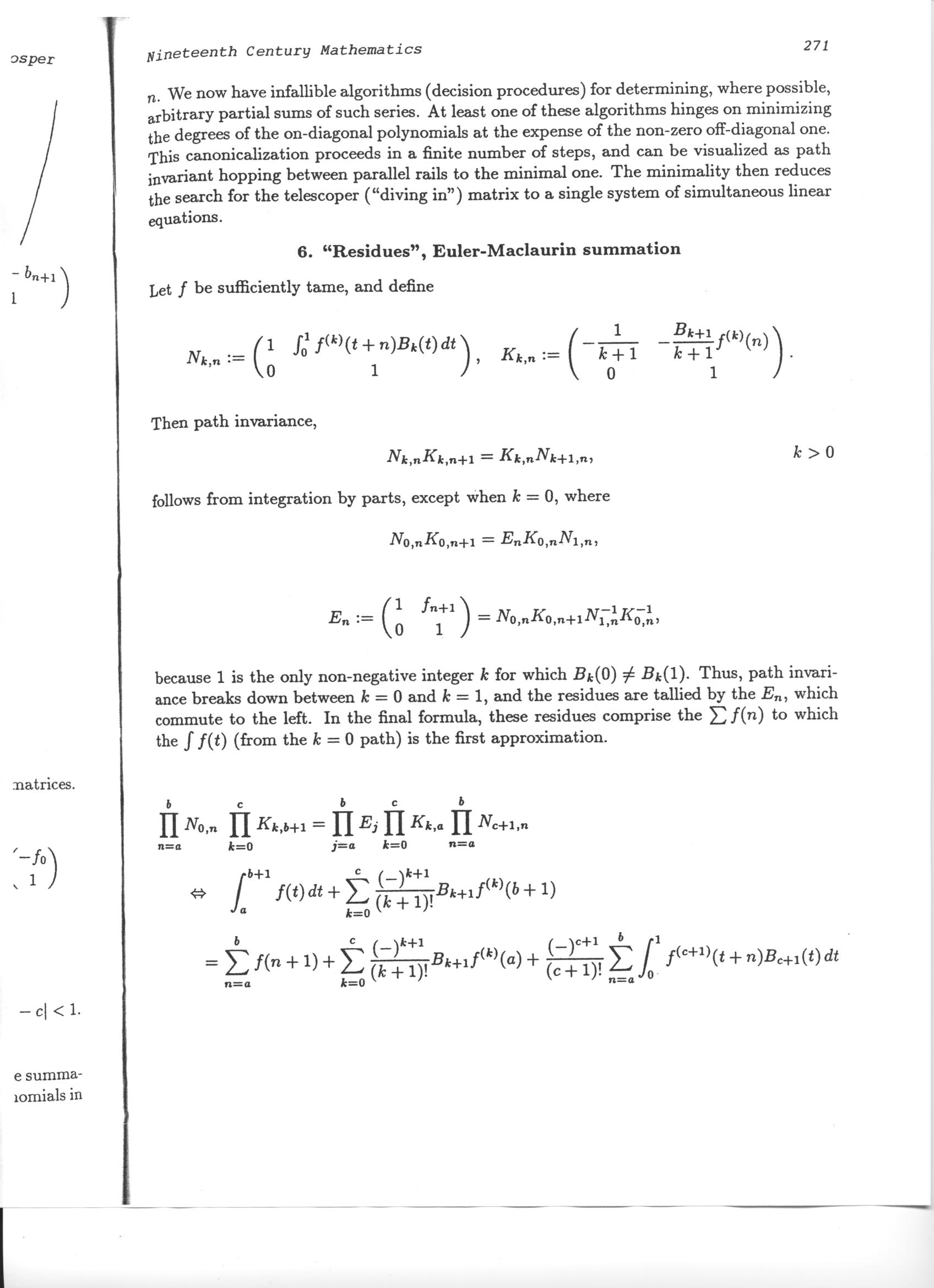
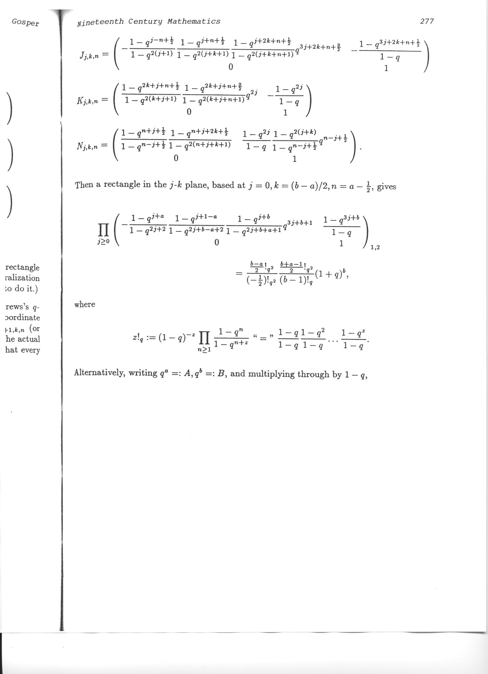
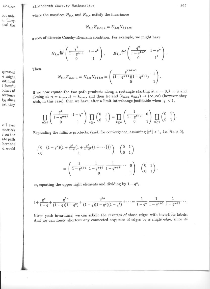
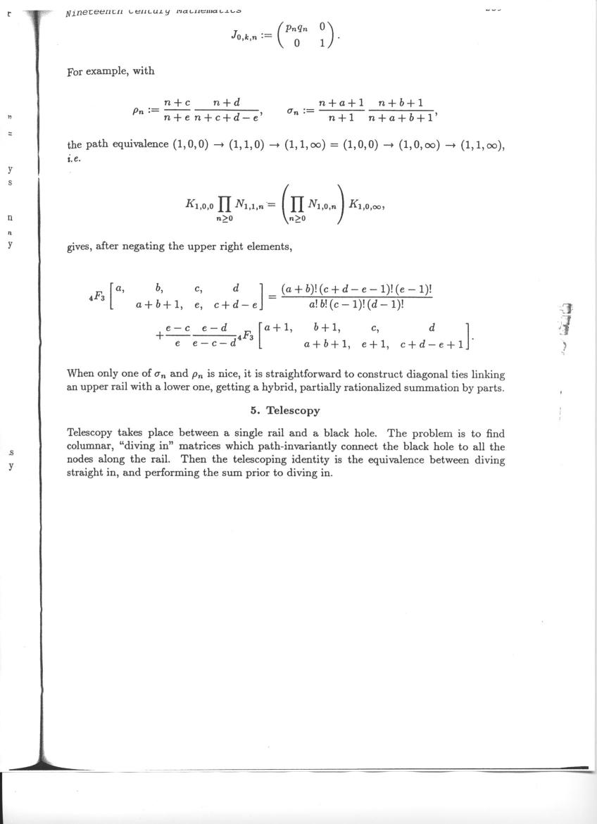
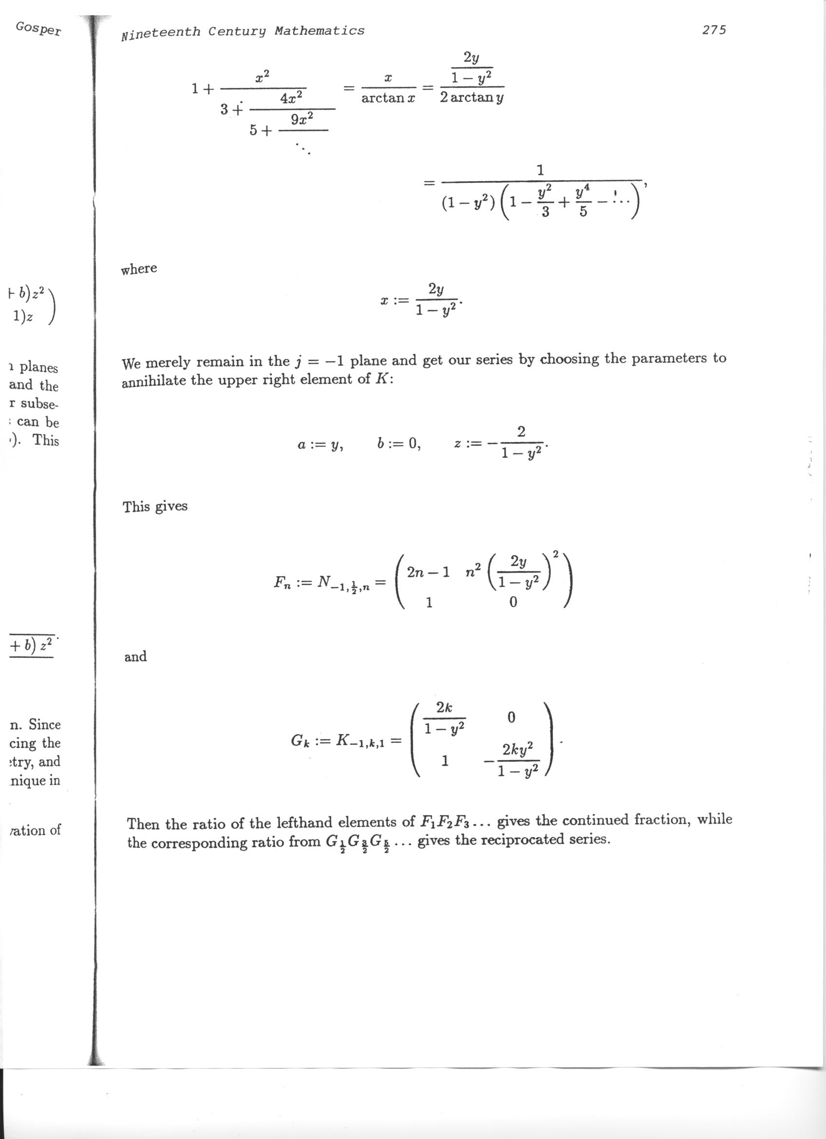
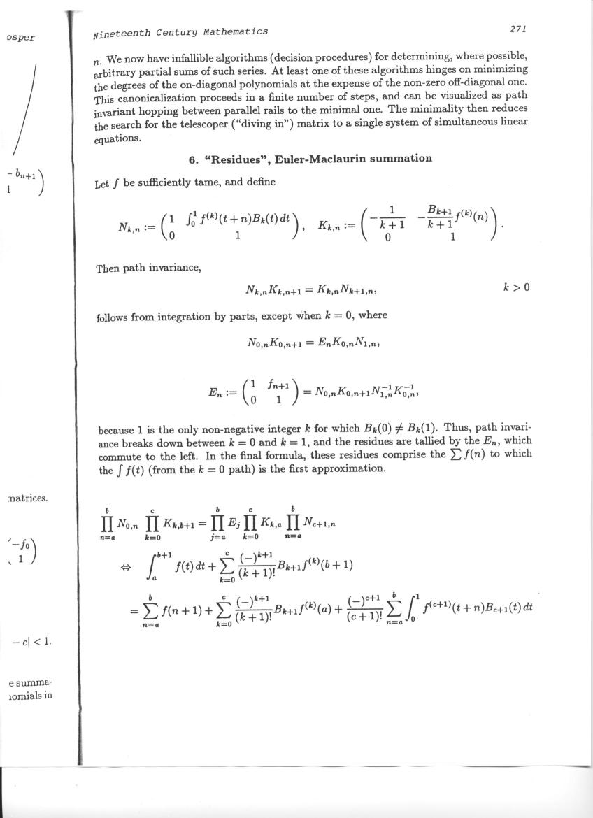
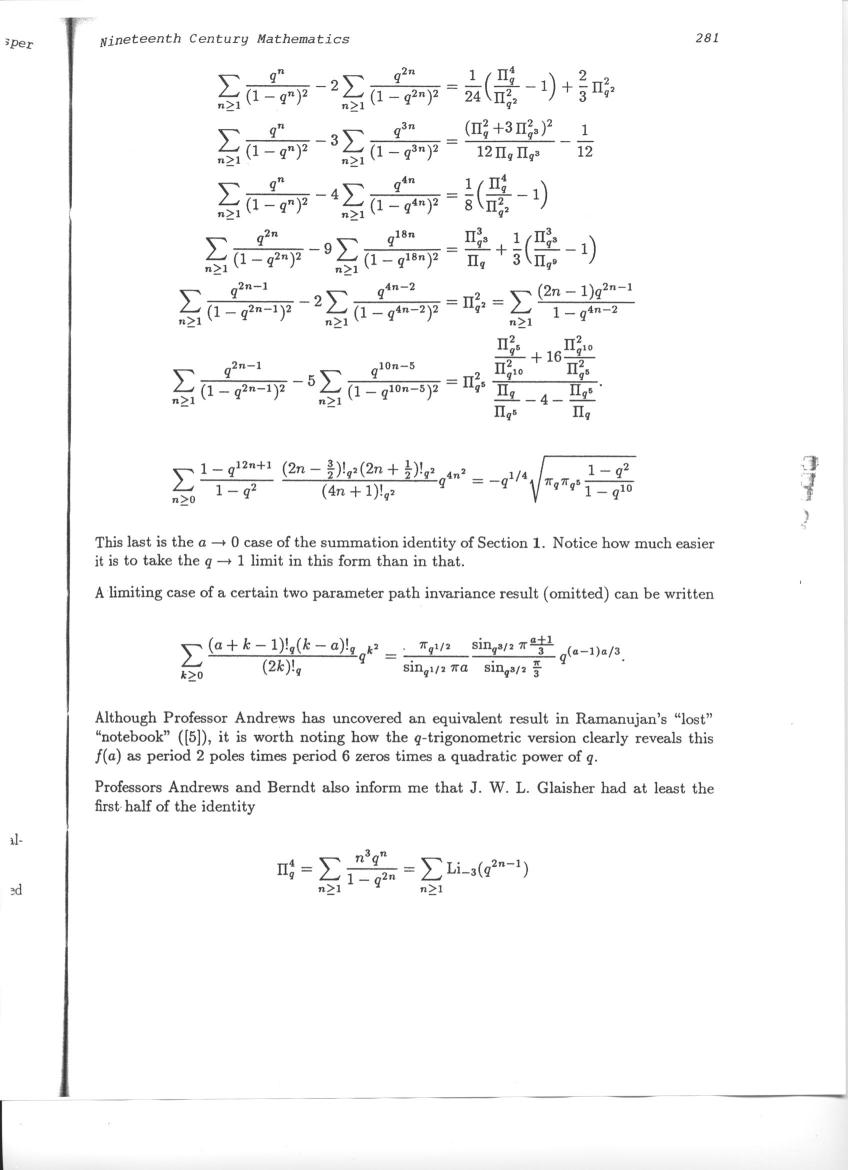
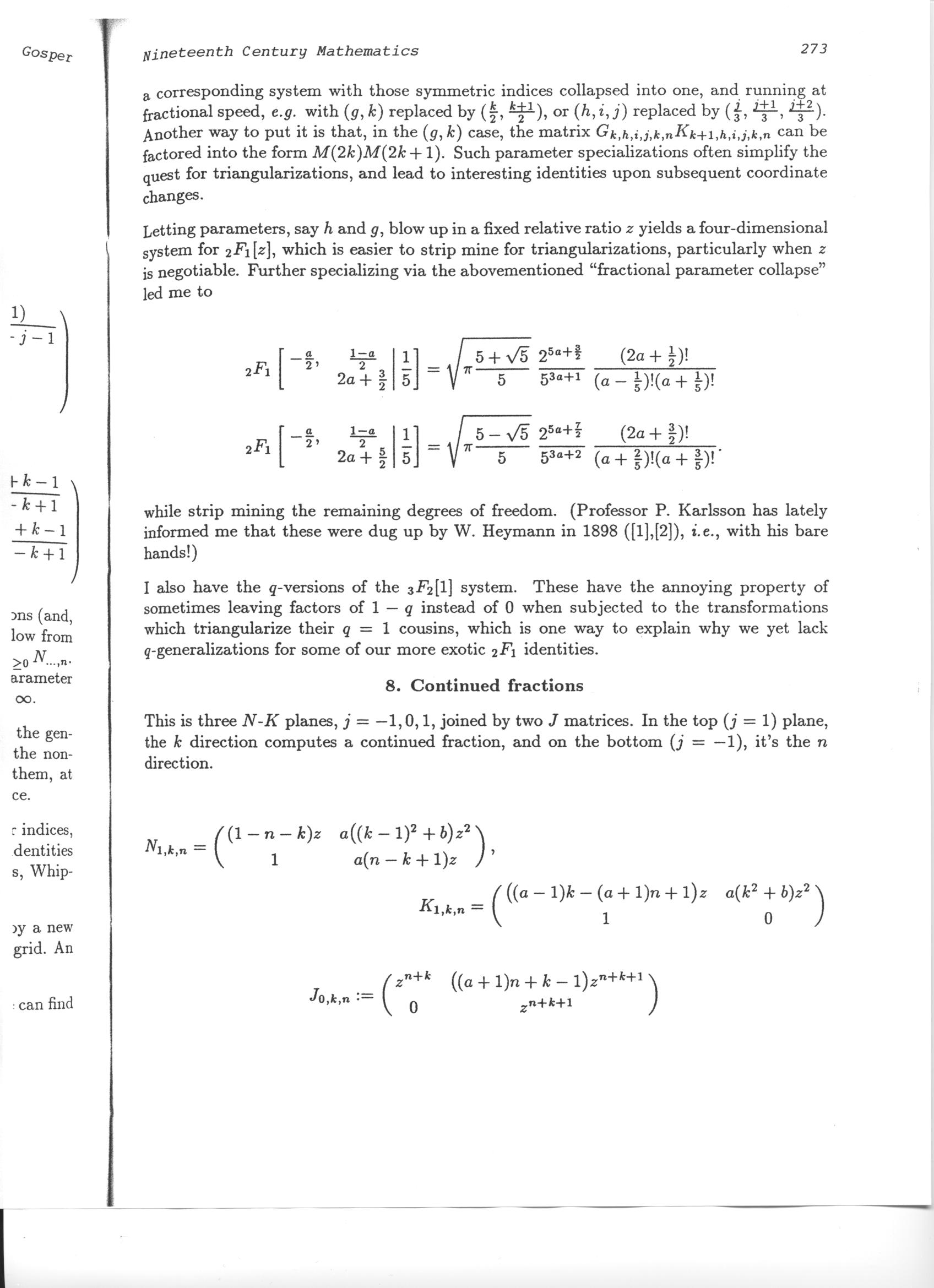
01.jpg 02.jpg 03.jpg 04.jpg 05.jpg 06.jpg 07.jpg 08.jpg 09.jpg 10.jpg 11.jpg 12.jpg 13.jpg 14.jpg 15.jpg 16.jpg 17.jpg 18.jpg 19.jpg 20.jpg 21.jpg 22.jpg 23.jpg 24.jpg