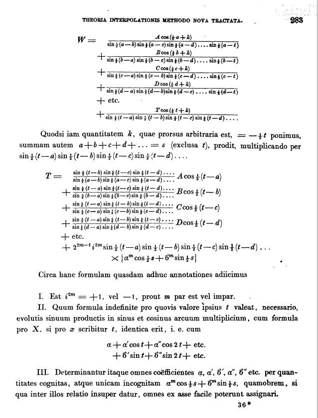
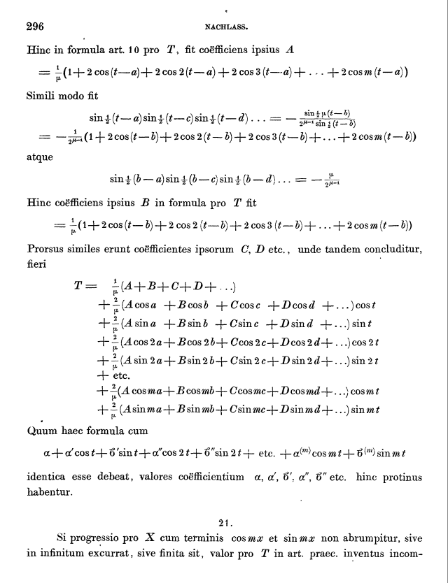
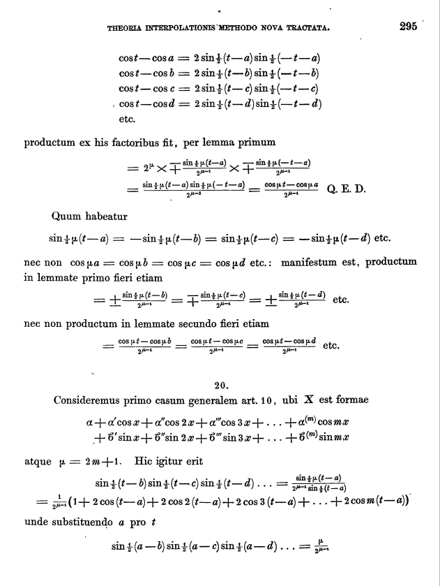
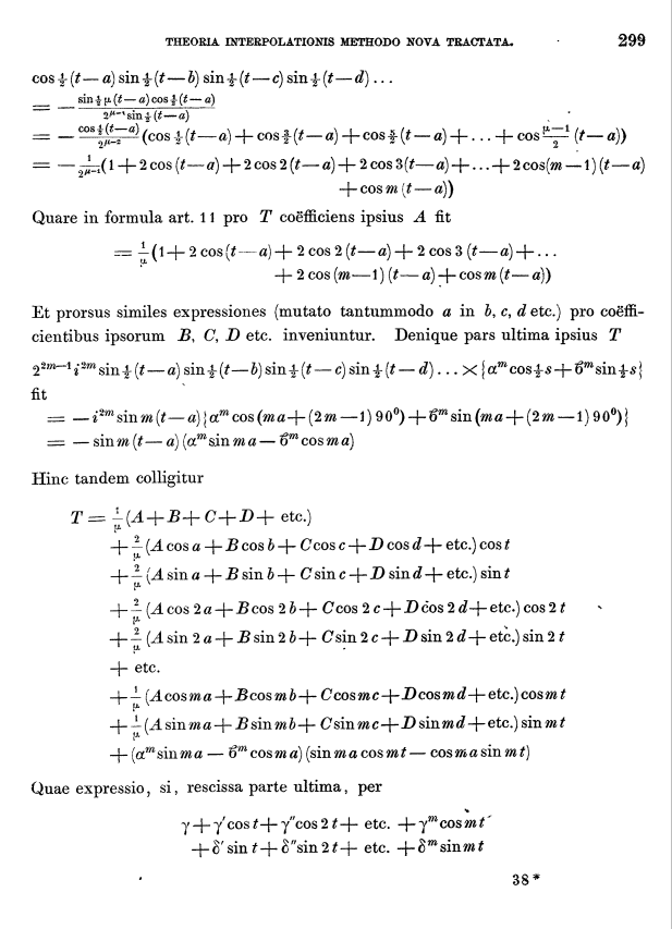
Pages 265 through 329, mirrored from agora.
273.gif 274.gif 275.gif 276.gif 277.gif 278.gif 279.gif 280.gif 281.gif 282.gif 283.gif 284.gif 285.gif 286.gif 287.gif 288.gif 289.gif 290.gif 291.gif 292.gif 293.gif 294.gif 295.gif 296.gif 297.gif 298.gif 299.gif 300.gif 301.gif 302.gif 303.gif 304.gif 305.gif 306.gif 307.gif 308.gif 309.gif 310.gif 311.gif 312.gif 313.gif 314.gif 315.gif 316.gif 317.gif 318.gif 319.gif 320.gif 321.gif 322.gif 323.gif 324.gif 325.gif 326.gif 327.gif 328.gif 329.gif 330.gif 331.gif 332.gif 333.gif 334.gif 335.gif 336.gif 337.gif